Subiecte Bac Engleza 2016

Subiecte Bacalaureat 2016 Romană La Profilul Real Romanul Din Perioada Interbelică La Profilul Uman Romanul Psihologic F Bullet Journal Journal Person

Subiecte Bacalaureat 2016 Romană La Profilul Real Romanul Din Perioada Interbelică La Profilul Uman Romanul Psihologic F Bullet Journal Journal Person

Bacalaureat 2018 Model De Subiect Pentru Proba Orală De Limba Engleză

Bacalaureat 2018 Model De Subiect Pentru Proba Orală De Limba Engleză

Subiecte Bac Economie 2020

Subiecte Bac Economie 2020

12 03 2019 Simulare En Clasa A 7 A Matematica Barem Si Subiecte Edu Ro Simulare Evaluarea Nationala 2019 Jitaruionelblog Pregatire B In 2020 Sheet Music Content

12 03 2019 Simulare En Clasa A 7 A Matematica Barem Si Subiecte Edu Ro Simulare Evaluarea Nationala 2019 Jitaruionelblog Pregatire B In 2020 Sheet Music Content

C Engleza Scris Model Subiect

C Engleza Scris Model Subiect

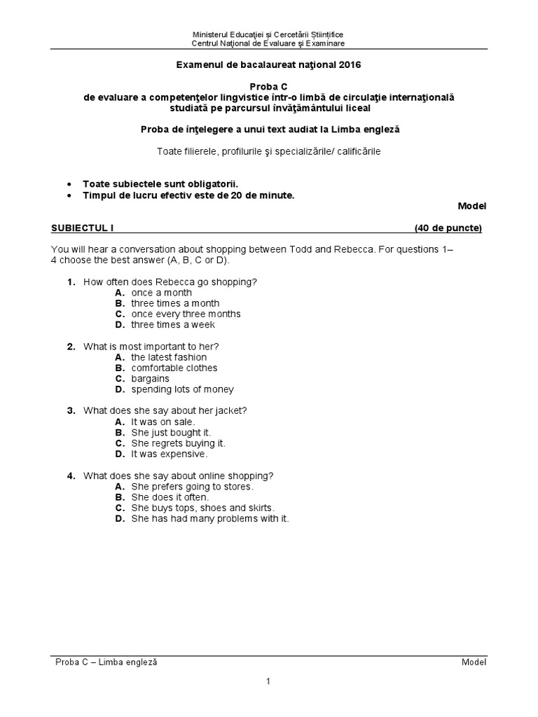
C Limba Engleza Audio Text 2016 Model Subiect

C Limba Engleza Audio Text 2016 Model Subiect

C Limba Engleza Audio Text 2016 Model Subiect

Pin On Subiecte

Pin On Subiecte

Procente Probleme Rezolvate Cu Procente Jitaruionelblog Pregatire Bac Si Evaluarea Nationala 2020 La Matematica Si Alte Materi In 2020 Math Bullet Journal Journal

Procente Probleme Rezolvate Cu Procente Jitaruionelblog Pregatire Bac Si Evaluarea Nationala 2020 La Matematica Si Alte Materi In 2020 Math Bullet Journal Journal

Model Rezolvat 3 Simulare Evaluarea Națională 2018 Matematică Clasa A 8 A Jitaruionelblog Pregatire Bac Si Evaluarea Nationala 2019 La Ma Chart Line Chart

Model Rezolvat 3 Simulare Evaluarea Națională 2018 Matematică Clasa A 8 A Jitaruionelblog Pregatire Bac Si Evaluarea Nationala 2019 La Ma Chart Line Chart

Bacalaureat 2016 Se Sustine Priba La Limba Straina

Bacalaureat 2016 Se Sustine Priba La Limba Straina

Teorema Lui Pitagora Probleme Rezolvate Geometrie Gimnaziu Fise De Lucru Jitaruionelblog Pregatire Bac Si Evaluarea National In 2020 Math Math Equations Person

Teorema Lui Pitagora Probleme Rezolvate Geometrie Gimnaziu Fise De Lucru Jitaruionelblog Pregatire Bac Si Evaluarea National In 2020 Math Math Equations Person

Model Rezolvat 3 Simulare Evaluarea Națională 2018 Matematică Clasa A 8 A Jitaruionelblog Pregatire Bac Si Evaluarea National Math Bullet Journal Journal

Model Rezolvat 3 Simulare Evaluarea Națională 2018 Matematică Clasa A 8 A Jitaruionelblog Pregatire Bac Si Evaluarea National Math Bullet Journal Journal

Subiecte Bac 2020 Germana

Subiecte Bac 2020 Germana

Ce A Picat La Bac La Matematică In Anii Trecuți Subiecte Bac Matematică Libertatea

Ce A Picat La Bac La Matematică In Anii Trecuți Subiecte Bac Matematică Libertatea

Pin On Subiecte

Pin On Subiecte

Sesiunea Speciala Bac 2019 Matematica Din 28 05 2019 Subiecte Si Bareme Proba E C Sursa Edu Ro Jitaruionelblog Pregatire Bac Si Evaluarea Nationala 2021 La Matematica Si Alte Materii Materiale Lectii Formule Exercitii

Sesiunea Speciala Bac 2019 Matematica Din 28 05 2019 Subiecte Si Bareme Proba E C Sursa Edu Ro Jitaruionelblog Pregatire Bac Si Evaluarea Nationala 2021 La Matematica Si Alte Materii Materiale Lectii Formule Exercitii

7 Modele De Teza Edu La Matematica Sem 2 Clasa A 7 A Rezolvari Bareme Jitaruionelblog Pregatire Bac Si Evaluarea Nationala 2019 La M Sheet Music Music

7 Modele De Teza Edu La Matematica Sem 2 Clasa A 7 A Rezolvari Bareme Jitaruionelblog Pregatire Bac Si Evaluarea Nationala 2019 La M Sheet Music Music

12 03 2019 Simulare En Clasa A 7 A Matematica Barem Si Subiecte Edu Ro Simulare Evaluarea Nationala 2019 Jitaruionelblog Preg In 2020 Math Chart Math Equations

12 03 2019 Simulare En Clasa A 7 A Matematica Barem Si Subiecte Edu Ro Simulare Evaluarea Nationala 2019 Jitaruionelblog Preg In 2020 Math Chart Math Equations

Subiecte Engleza Oral Rezolvate Grandparent Christmas

Subiecte Engleza Oral Rezolvate Grandparent Christmas

Model Rezolvat 3 Simulare Evaluarea Națională 2018 Matematică Clasa A 8 A Jitaruionelblog Pregatire Bac Si Evaluarea Nationala Abc Bullet Journal Journal

Model Rezolvat 3 Simulare Evaluarea Națională 2018 Matematică Clasa A 8 A Jitaruionelblog Pregatire Bac Si Evaluarea Nationala Abc Bullet Journal Journal

Model Simulare 2019 Clasa A 7 A Matematica En Martie 2019 Jitaruionelblog Pregatire Bac Si Evaluarea Nationala 2019 La Matem Math Model Math Equations

Model Simulare 2019 Clasa A 7 A Matematica En Martie 2019 Jitaruionelblog Pregatire Bac Si Evaluarea Nationala 2019 La Matem Math Model Math Equations

Sesiunea Speciala Bac 2019 Istorie Din 28 05 2019 Subiect Si Barem Proba E C Sursa Edu Ro Jitaruionelblog Pregatire Bac Si Evaluarea Nationala 2021 La Matematica Si Alte Materii Materiale Lectii Formule Exercitii

Sesiunea Speciala Bac 2019 Istorie Din 28 05 2019 Subiect Si Barem Proba E C Sursa Edu Ro Jitaruionelblog Pregatire Bac Si Evaluarea Nationala 2021 La Matematica Si Alte Materii Materiale Lectii Formule Exercitii

Bacalaureat 2017 Modele De Subiecte Liceul Tehn Petru Rares Bacau

Bacalaureat 2017 Modele De Subiecte Liceul Tehn Petru Rares Bacau

Sesiunea Speciala Bac 2019 Proba E D Subiecte Si Bareme Din 29 05 2019 Edu Ro Jitaruionelblog Pregatire Bac Si Evaluarea Nationala 2021 La Matematica Si Alte Materii Materiale Lectii Formule Exercitii Rezolvate Matematica Gimnaziu

Sesiunea Speciala Bac 2019 Proba E D Subiecte Si Bareme Din 29 05 2019 Edu Ro Jitaruionelblog Pregatire Bac Si Evaluarea Nationala 2021 La Matematica Si Alte Materii Materiale Lectii Formule Exercitii Rezolvate Matematica Gimnaziu

Test Initial Matematica Clasa A 7 A Cu Rezolvare Barem An Scolar 2018 2019 Jitaruionelblog Pregatire Bac Si Evaluarea Nati In 2020 Math Sheet Music Steven Holl

Test Initial Matematica Clasa A 7 A Cu Rezolvare Barem An Scolar 2018 2019 Jitaruionelblog Pregatire Bac Si Evaluarea Nati In 2020 Math Sheet Music Steven Holl

Model Teză Matematică Clasa A 7 A Pe Semestrul 1 Barem Rezolvare Jitaruionelblog Pregatire Bac Si Evaluarea Nationala 20 In 2020 Math Personalized Items Person

Model Teză Matematică Clasa A 7 A Pe Semestrul 1 Barem Rezolvare Jitaruionelblog Pregatire Bac Si Evaluarea Nationala 20 In 2020 Math Personalized Items Person

Pin On Desene

Pin On Desene

Bac 2019 Subiecte Romană La Bacalaureat 2019 Uman și Real Hotnews Mobile

Bac 2019 Subiecte Romană La Bacalaureat 2019 Uman și Real Hotnews Mobile

Formule De Calcul Prescurtat Teorie Exemple Exercitii Rezolvate Matematica Gimnaziu Jitaruionelblog Pregatire Bac Si Evaluarea Nationala 2020 La Matema In 2020

Formule De Calcul Prescurtat Teorie Exemple Exercitii Rezolvate Matematica Gimnaziu Jitaruionelblog Pregatire Bac Si Evaluarea Nationala 2020 La Matema In 2020

Bacalaureat 2019 Subiecte La Proba Orală La Limba Străină

Bacalaureat 2019 Subiecte La Proba Orală La Limba Străină

Source : pinterest.com